Home > Legal > Dr. Iman Sadeghi v. Pinscreen > >

GitLab's Software Repository of Pinscreen's Public Deception at ACM SIGGRAPH RTL 2017


Related #Tags:

#Fraud#Scientific Misconduct#MBZUAI#Falsification#Discovery#SIGGRAPH#USC#Hao Li#Investigation#ACM#RTL2017#Public Deception#ACM


Available Formats:

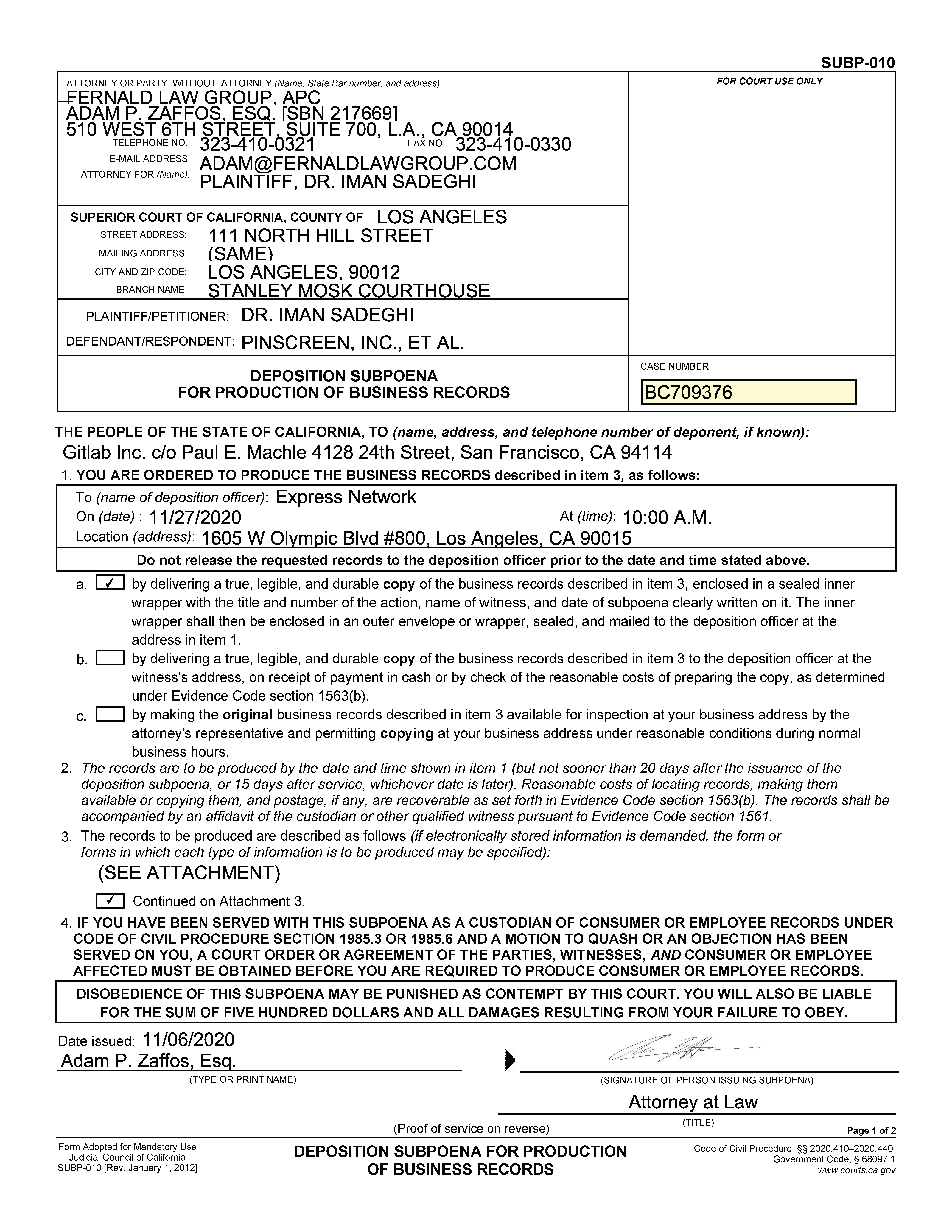
Gitlab: GitLab's Software Repository of Pinscreen's Public Deception at ACM SIGGRAPH RTL 2017
[⇒pdf] [web] [archive.is] [archive.org] [gcache]

Related Content:

ACM: ACM's Investigation re Hao Li's and Pinscreen's Scientific Misconduct at SIGGRAPH and SIGGRAPH Asia 2017
[⇒pdf] [web] [archive.is] [archive.org] [gcache]

ACM: ACM Policies Protecting Whistleblowers & Victims of Coercion/Abuse, Or Lack Thereof
[⇒pdf] [web] [archive.is] [archive.org] [gcache]

USC: USC's Investigation Report re Hao Li's and Pinscreen's Scientific Misconduct at ACM SIGGRAPH RTL 2017
[⇒pdf] [web] [archive.is] [archive.org] [gcache]

USC: USC Is Considering Revoking Doctorate Degrees Awarded Based on Fraudulent Publications
[⇒pdf] [web] [archive.is] [archive.org] [gcache]

MBZUAI: Letter to His Highness Sheikh Mohamed bin Zayed re Scientific Integrity at MBZUAI
[⇒pdf] [web] [archive.is] [archive.org] [gcache]

MBZUAI: MBZUAI Attempts to Cover Up Hao Li's Scientific Misconduct
[⇒pdf] [web] [archive.is] [archive.org] [gcache]

USC: Quandary Peak Research's Report re Pinscreen's Public Deception at ACM SIGGRAPH RTL 2017
[⇒pdf] [web] [archive.is] [archive.org] [gcache]

USC: USC ICT's Report re Hao Li's Destruction of Evidence
[⇒pdf] [web] [archive.is] [archive.org] [gcache]

Gitlab: GitLab's Software Repository of Pinscreen's Public Deception at ACM SIGGRAPH RTL 2017
[⇒pdf] [web] [archive.is] [archive.org] [gcache]

USC: Hao Li Authenticates USC's Investigation Report re Pinscreen's Public Deception at ACM SIGGRAPH RTL 2017
[⇒pdf] [web] [archive.is] [archive.org] [gcache]

USC: USC's Confirmation of Hao Li's and Pinscreen's Public Deception at ACM SIGGRAPH RTL 2017
[⇒pdf] [web] [archive.is] [archive.org] [gcache]

USC: Hao Li Authenticates USC's Confirmation of Pinscreen's Public Deception at ACM SIGGRAPH RTL 2017
[⇒pdf] [web] [archive.is] [archive.org] [gcache]

USC: Hao Li Refers to USC's Investigation of His Scientific Misconduct as 'Embarrassing'
[⇒pdf] [web] [archive.is] [archive.org] [gcache]

Orders: Judge Denies Pinscreen's Motion to Seal USC's Investigation of Hao Li's Scientific Misconduct
[⇒pdf] [web] [archive.is] [archive.org] [gcache]

Orders: Judge Denies Pinscreen's Second Attempt to Seal USC's Investigation of Hao Li's Scientific Misconduct
[⇒pdf] [web] [archive.is] [archive.org] [gcache]

Motions: Pinscreen’s Motion to Seal USC’s Investigation of Hao Li’s Scientific Misconduct
[⇒pdf] [web] [archive.is] [archive.org] [gcache]

Motions: Sadeghi’s Opposition to Pinscreen’s Motions to Seal USC’s Investigation of Hao Li’s Scientific Misconduct
[⇒pdf] [web] [archive.is] [archive.org] [gcache]

Evidence: Google's Certificate of No Records re Pinscreen's Destruction of Evidence
[⇒pdf] [web] [archive.is] [archive.org] [gcache]

Pages:

[01] [02] [03] [04] [05] [06] [07] [08] [09] [10] [11] [12] [13] [14] [15] [16] [17] [18] [19] [20] [21] [22] [23] [24] [25] [26] [27] [28]

Content:

[Page 1]
GitLab's Software Repository of Pinscreen's Public Deception at ACM SIGGRAPH RTL 2017 Page 1

[Page 2]
GitLab's Software Repository of Pinscreen's Public Deception at ACM SIGGRAPH RTL 2017 Page 2

[Page 3]
GitLab's Software Repository of Pinscreen's Public Deception at ACM SIGGRAPH RTL 2017 Page 3

[Page 4]
GitLab's Software Repository of Pinscreen's Public Deception at ACM SIGGRAPH RTL 2017 Page 4

[Page 5]
GitLab's Software Repository of Pinscreen's Public Deception at ACM SIGGRAPH RTL 2017 Page 5

[Page 6]
GitLab's Software Repository of Pinscreen's Public Deception at ACM SIGGRAPH RTL 2017 Page 6

[Page 7]
GitLab's Software Repository of Pinscreen's Public Deception at ACM SIGGRAPH RTL 2017 Page 7

[Page 8]
GitLab's Software Repository of Pinscreen's Public Deception at ACM SIGGRAPH RTL 2017 Page 8

[Page 9]
GitLab's Software Repository of Pinscreen's Public Deception at ACM SIGGRAPH RTL 2017 Page 9

[Page 10]
GitLab's Software Repository of Pinscreen's Public Deception at ACM SIGGRAPH RTL 2017 Page 10

[Page 11]
GitLab's Software Repository of Pinscreen's Public Deception at ACM SIGGRAPH RTL 2017 Page 11

[Page 12]
GitLab's Software Repository of Pinscreen's Public Deception at ACM SIGGRAPH RTL 2017 Page 12

[Page 13]
GitLab's Software Repository of Pinscreen's Public Deception at ACM SIGGRAPH RTL 2017 Page 13

[Page 14]
GitLab's Software Repository of Pinscreen's Public Deception at ACM SIGGRAPH RTL 2017 Page 14

[Page 15]
GitLab's Software Repository of Pinscreen's Public Deception at ACM SIGGRAPH RTL 2017 Page 15

[Page 16]
GitLab's Software Repository of Pinscreen's Public Deception at ACM SIGGRAPH RTL 2017 Page 16

[Page 17]
GitLab's Software Repository of Pinscreen's Public Deception at ACM SIGGRAPH RTL 2017 Page 17

[Page 18]
GitLab's Software Repository of Pinscreen's Public Deception at ACM SIGGRAPH RTL 2017 Page 18

[Page 19]
GitLab's Software Repository of Pinscreen's Public Deception at ACM SIGGRAPH RTL 2017 Page 19

[Page 20]
GitLab's Software Repository of Pinscreen's Public Deception at ACM SIGGRAPH RTL 2017 Page 20

[Page 21]
GitLab's Software Repository of Pinscreen's Public Deception at ACM SIGGRAPH RTL 2017 Page 21

[Page 22]
GitLab's Software Repository of Pinscreen's Public Deception at ACM SIGGRAPH RTL 2017 Page 22

[Page 23]
GitLab's Software Repository of Pinscreen's Public Deception at ACM SIGGRAPH RTL 2017 Page 23

[Page 24]
GitLab's Software Repository of Pinscreen's Public Deception at ACM SIGGRAPH RTL 2017 Page 24

[Page 25]
GitLab's Software Repository of Pinscreen's Public Deception at ACM SIGGRAPH RTL 2017 Page 25

[Page 26]
GitLab's Software Repository of Pinscreen's Public Deception at ACM SIGGRAPH RTL 2017 Page 26

[Page 27]
GitLab's Software Repository of Pinscreen's Public Deception at ACM SIGGRAPH RTL 2017 Page 27

[Page 28]
GitLab's Software Repository of Pinscreen's Public Deception at ACM SIGGRAPH RTL 2017 Page 28

[Back to Top]

Pages:

[01] [02] [03] [04] [05] [06] [07] [08] [09] [10] [11] [12] [13] [14] [15] [16] [17] [18] [19] [20] [21] [22] [23] [24] [25] [26] [27] [28]

Related #Tags:

#Fraud#Scientific Misconduct#MBZUAI#Falsification#Discovery#SIGGRAPH#USC#Hao Li#Investigation#ACM#RTL2017#Public Deception#ACM

Available Formats:

Gitlab: GitLab's Software Repository of Pinscreen's Public Deception at ACM SIGGRAPH RTL 2017
[⇒pdf] [web] [archive.is] [archive.org] [gcache]

Related Content:

ACM: ACM's Investigation re Hao Li's and Pinscreen's Scientific Misconduct at SIGGRAPH and SIGGRAPH Asia 2017
[⇒pdf] [web] [archive.is] [archive.org] [gcache]

ACM: ACM Policies Protecting Whistleblowers & Victims of Coercion/Abuse, Or Lack Thereof
[⇒pdf] [web] [archive.is] [archive.org] [gcache]

USC: USC's Investigation Report re Hao Li's and Pinscreen's Scientific Misconduct at ACM SIGGRAPH RTL 2017
[⇒pdf] [web] [archive.is] [archive.org] [gcache]

USC: USC Is Considering Revoking Doctorate Degrees Awarded Based on Fraudulent Publications
[⇒pdf] [web] [archive.is] [archive.org] [gcache]

MBZUAI: Letter to His Highness Sheikh Mohamed bin Zayed re Scientific Integrity at MBZUAI
[⇒pdf] [web] [archive.is] [archive.org] [gcache]

MBZUAI: MBZUAI Attempts to Cover Up Hao Li's Scientific Misconduct
[⇒pdf] [web] [archive.is] [archive.org] [gcache]

USC: Quandary Peak Research's Report re Pinscreen's Public Deception at ACM SIGGRAPH RTL 2017
[⇒pdf] [web] [archive.is] [archive.org] [gcache]

USC: USC ICT's Report re Hao Li's Destruction of Evidence
[⇒pdf] [web] [archive.is] [archive.org] [gcache]

Gitlab: GitLab's Software Repository of Pinscreen's Public Deception at ACM SIGGRAPH RTL 2017
[⇒pdf] [web] [archive.is] [archive.org] [gcache]

USC: Hao Li Authenticates USC's Investigation Report re Pinscreen's Public Deception at ACM SIGGRAPH RTL 2017
[⇒pdf] [web] [archive.is] [archive.org] [gcache]

USC: USC's Confirmation of Hao Li's and Pinscreen's Public Deception at ACM SIGGRAPH RTL 2017
[⇒pdf] [web] [archive.is] [archive.org] [gcache]

USC: Hao Li Authenticates USC's Confirmation of Pinscreen's Public Deception at ACM SIGGRAPH RTL 2017
[⇒pdf] [web] [archive.is] [archive.org] [gcache]

USC: Hao Li Refers to USC's Investigation of His Scientific Misconduct as 'Embarrassing'
[⇒pdf] [web] [archive.is] [archive.org] [gcache]

Orders: Judge Denies Pinscreen's Motion to Seal USC's Investigation of Hao Li's Scientific Misconduct
[⇒pdf] [web] [archive.is] [archive.org] [gcache]

Orders: Judge Denies Pinscreen's Second Attempt to Seal USC's Investigation of Hao Li's Scientific Misconduct
[⇒pdf] [web] [archive.is] [archive.org] [gcache]

Motions: Pinscreen’s Motion to Seal USC’s Investigation of Hao Li’s Scientific Misconduct
[⇒pdf] [web] [archive.is] [archive.org] [gcache]

Motions: Sadeghi’s Opposition to Pinscreen’s Motions to Seal USC’s Investigation of Hao Li’s Scientific Misconduct
[⇒pdf] [web] [archive.is] [archive.org] [gcache]

Evidence: Google's Certificate of No Records re Pinscreen's Destruction of Evidence
[⇒pdf] [web] [archive.is] [archive.org] [gcache]


Get in touch

Contact

Email

Follow

Support

Mirrors


Your message was sent successfully! I will be in touch as soon as I can.

Something went wrong, try refreshing and submitting the form again.